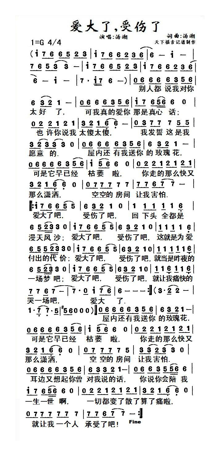
汤潮-爱大了受伤了


汤潮-爱大了受伤了乐谱

您确定捐赠并充值成功后即表示您同意捐赠给十四夜编曲网,捐赠的费用用于网站服务器以及维护,方便提供给您更快更好的浏览服务。 您下载了资源并不代表您购买了资源。如需购买,请购买官方正版。 在本站下载的资源均用于学习,请24小时内删除,如需商用,请购买官方正版。如下载用户未及时删除资源引起的版权纠纷,十四夜编曲网不承担任何法律责任。 本站部分资源来源于互联网,仅做介绍和学习使用,版权属原著所有。 如有侵权行为请邮件到:222986@163.com,我们会在24小时内删除侵权内容,敬请原谅!

给TA打赏
共{{data.count}}人
人已打赏
乐谱

河图-让路

2025-2-18 23:13:33

乐谱

汤潮-苦咖啡

2025-2-18 23:13:49

个人中心
购物车
优惠劵
今日签到
有新私信 私信列表
搜索